IQ Lesson 1 - for Sri Lankan Competitive Exam (SLAS - SLES- Regu- Teaching - Banking )
fojeks .Kk
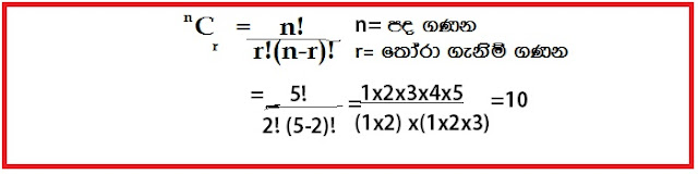
ms<s;=r
fï jf.a .dkla weyqfjd;a iolrk fhdodf.k f,isfhkau ms<s;=rla .kak mq¿jka
.Kk
wog we;s ;j;a mdvulska ;j;a ojil yuqfjuq lfukaÜ tlla od,u hkak
(1)වැඩිම වන ගහණයක් ඇති ආසියානු රට -භූතානය (2)ආසියාවේ පිහිටා ඇති විශාලතම වන…
ශ්රී ලංකා විදුහලේ සේවයේ 2 වන පන්තියට බදවා ගැනීම සදහා වන සීමිත තරග විභාග…
(51)උතුරු පළාතේ ඇති විශාලතම ජලාශය -ඉරනමඩු (52)මොරගහකන්ද ජලාශය ඉදිකිරීමේද…
